齿轮论坛 www.gearbbs.com

 找回密码
 注册
搜索
楼主: woodee
收起左侧

发现李特文的错误并不是你的成功

[复制链接]
发表于 2020-12-7 15:58 | 显示全部楼层
DD99 发表于 2020-12-7 15:49
我大致在您图片上画了K1,K2点的曲线,是这样的吗?平面不动基圆转动与基圆不动平面转动不是一样的吗?怎么 ...

平面不动基圆柱滚动那只能说基圆柱上的任一点的轨迹是摆线,基圆不动平面滚动则平面上任意一点的轨迹是渐开线,是两种相对运动产生的曲线不同
 楼主| 发表于 2020-12-19 17:54 | 显示全部楼层
hyfjy 发表于 2020-12-6 21:09
"在科学上没有平坦的大道,只有不畏劳苦沿着陡峭山路攀登的人,才有希望达到光辉的顶点.“仅以这段话,对这一 ...

hyfjy番茄唐龙zengxiaodong、谢谢参与并发表高见!!


前几日忙家事及工作,现在继续。
 楼主| 发表于 2020-12-19 19:25 | 显示全部楼层
本帖最后由 woodee 于 2020-12-19 23:01 编辑
DD99 发表于 2020-12-7 15:49
我大致在您图片上画了K1,K2点的曲线,是这样的吗?平面不动基圆转动与基圆不动平面转动不是一样的吗?怎么 ...

我标上相关参数,图片可能更好理解:
InvLScuerve_S03-0a.png    


对于代数而言,βl和βs是一回事,只是大小不同罢了。图片简化之:
InvLScuerve_S03-0b.png    


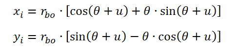
浅蓝色渐开线,基圆半径rbo,基圆螺旋角βb,不妨称之为原生渐开线。其公式为:  
Formula-01.png   


在此基础上,很容易推得粉色成形线的端面曲线方程:  
Formula-02.png   
此端面曲线,与原生渐开线有一个法线方向距离li,此距离随参变量θ而变动。
ββb时:  
InvLScuerve_S03a_Ll.png   


ββb时:  
InvLScuerve_S03a_Ls.png   


为了解曲线的性质,对上面参数方程进行约简:  
Formula-03.png    
现在看得很清楚,公式前半段,是一条新的、基圆半径rb的渐开线,我们可以称之为创成渐开线。
因为浅红色端面曲线,就是沿着此新渐开线上的任一点切线有一个常量L距离点的集合。
下图中,深蓝色的就是此新渐开线。
ββb时,是延伸渐开线:
InvLScuerve_S03_oa.png   
当0<ββb时,是缩短渐开线:
InvLScuerve_S03_ob.png   
β0时,又变位延伸渐开线:
InvLScuerve_S03_oc.png   
InvLScuerve_S03_od.png   


我们前面两个帖子中所讨论的ZN1、ZN2,只是β<0并某个固定角度的特例,都是延伸渐开线



发表于 2020-12-20 19:32 | 显示全部楼层
woodee 发表于 2020-12-19 19:25
我标上相关参数,图片可能更好理解:
   

顶上去,此贴图文并茂甚是精彩,可以收获不少知识
发表于 2020-12-21 01:15 | 显示全部楼层
本帖最后由 DoctorWHO 于 2020-12-21 12:22 编辑
woodee 发表于 2020-12-19 19:25
我标上相关参数,图片可能更好理解:
   

有点看不太懂坐标系是怎么建的。。。还是说我端面的几何关系理解错了?
微信截图_20201221010718.jpg

换一种坐标系我到是能尝试一下。。。
微信截图_20201221010415.jpg
微信截图_20201221010512.jpg
微信截图_20201221010544.jpg
微信截图_20201221010637.jpg

更新,经过变换确认为延伸渐开线。 微信截图_20201221122105.png


发表于 2020-12-21 13:23 | 显示全部楼层

几种曲线的通式

QQ截图20201221131643.jpg
发表于 2020-12-21 18:09 | 显示全部楼层
L上有绝对值符号,表示的是距离。L>0,L<0是指“通式”中的L前面是取正号或负号的意思,可能我没説清楚,特此说明。
发表于 2020-12-22 14:32 | 显示全部楼层
借用66楼zbq2334老师的图来说明下两位的差异是怎么来的。
1.PNG
我们可以看出来,woodee老师和洪老师的分歧在于我上面标的超越渐开线是不是延伸渐开线。我选这个图是因为这个图太经典了,这个图怎么来的?就是渐开线的展成直线在基圆切点的垂线,距离为L处随着展成直线沿着基圆滚动的轨迹。我们看到这条洪老师称为超越渐开线的曲线明明可以用一个适配延伸渐开线通用公式表达出来的,怎么他就不是延伸渐开线了呢?
那我们来看下洪老师认识ZN蜗杆的理论模型是什么样子的。
2.png
在这个原理里面,基准是所有曲线的起始圆一致,并且起始点重合。我理解的获得方法是先以渐开线获得一个起始圆,然后计算不同滚动圆直径使得起始圆一致后去展成其他曲线。
两者模型的联系:
第一个图,除了标注超越渐开线这条线,我们把缩短渐开线,渐开线,延伸渐开线(L小于基圆半径)的起始圆直径做到一样大。然后我们把标注超越渐开线这条线(起始圆也一样大)旋转180°之后就得到洪老师的原理图了。我看到woodee老师63楼已经做了这个工作了。
两者模型关联起来后我们回到第一张图去理解这条超越渐开线和延伸渐开线。超越渐开线在这里就是上面那条L大于rb的延伸渐开线,但是因为被旋转了180°,所以此时超越渐开线和延伸渐开线的L是一样的。那么在这样的构造模型里面,这两条曲线的函数一定是无法被一个通式所描述的(旋转了180°)。所以这两条曲线应该被命名为不同的名字以示区别。所以在一个蜗杆上,刀具放置方式的不同加工得到的起始圆一致且起始点重合时,端面曲线中的超越渐开线和延伸渐开线的数学表达会不一致,性状也不一致,不能认为两者是一类曲线。
所以用渐开线基圆作为基准圆的垂线滚动法去理解ZN1蜗杆的,那么其端面齿廓就是延伸渐开线,这个结论是正确的。
用曲线起始圆作为基准且起始点重合的方法去认识ZN1的蜗杆的,那么其端面齿廓就不是延伸渐开线。这个结论是正确的。
所以本质就是不同的模型构建方法造成延伸渐开线的函数产生区别所产生的分歧。最后就是谁都没有错。而且上面的结果对比应该也明确看出两者出产的东西也是一样的。
然后woodee版主63楼其实把模型绘制到和洪老师一致了,也应该明显看到β小于0是需要旋转180°的。所以单从这样的模型出发,没有前面延伸法的铺垫,2个曲线肯定是不一样的,毕竟洪老师不是去旋转的曲线,他是根据刀具位置直接推算获得的几何模型。函数不一样,形状不一样的曲线没有理由都叫延伸渐开线。
所以结论就是一样的东西,认识他的过程不一样出现了分歧。按照垂线延伸法,ZN蜗杆是延伸渐开线没问题,按照洪老师的方法他不是延伸渐开线也没有问题。所以同一个事物认知过程不一样得到了不一样的名称。这里谁对谁错了呢?我反正不觉得有谁是错的。
上面的论证是还原了两位认识这些曲线过程才能得知的,可能也是最接近事实的,当然也会被反驳,想来反驳的理由也还是基于垂线延伸法认为转了180°不改变曲线本质。而我和洪老师沟通一样的,他指出我用垂线法构建曲线不对,应该去根据参数算得滚动圆然后去构建曲线,因为用他的方法得到的还是第二张图,用他的构造理论是得到不到第一张图的。所以他们的分歧就是认识过程不一样产生的,且因为结果都是正确的,但是又不愿意摒弃自己所学,完全重新开始全面了解对方思路造成的。

所以第一种原理图证明了ZN蜗杆端面曲线是延伸渐开线。第二张原理图则把ZN蜗杆的各种公式推导做了极大的简化,比如洪老师公开的广义渐开线函数,任意圆齿厚计算公式,好像还有M值计算方法等等,这些公式其实相比“ZN蜗杆端面曲线是延伸渐开线”这个结论对现实更加有意义。

 楼主| 发表于 2020-12-22 15:11 | 显示全部楼层
DoctorWHO 发表于 2020-12-21 01:15
有点看不太懂坐标系是怎么建的。。。还是说我端面的几何关系理解错了?

您65楼第一张图片,应该是因为是从X_Y平面的负方向投影定义的,没有遵从坐标系的右手系原则,即x-y为逆时针方向。
所以会有些困扰吧。
把我63楼的图片所示,按照X_Y正方向投影观察,可能更清楚些:   
InvLScuerve_S03s_00.png    
上图是公式中
Formula-04.png    
u取正值的情况。
u取负值时,则有:  
InvLScuerve_S03s_01.png    


您是按照u=0建构方程的,如果x、y互相调换,应该是下图情形:  
InvLScuerve_S03s_03.png    


我把63楼我的最后方程式,让u=0并且去掉,则跟您的最后一张图片的最后方程,应该是一样的,只是x、y互换罢了:  
InvLScuerve_DoctorWHO.png    
InvLScuerve_DoctorWHO_WD.png    



 楼主| 发表于 2020-12-22 15:57 | 显示全部楼层


   


我前面的推导,跟您66楼的表述基本都完全能对上。
InvLScuerve_S03s_Expressions.png    
上图表达式中的bbo,就是63楼第二张图片中的βb;bb就是63楼第二张图片中的β。
bb的值域:  90°<bb<-90°。


bb=70,延伸渐开线
InvLScuerve_S03s_bb=70.png    


bb=bbo=66.37623385,渐开线
InvLScuerve_S03s_bb=bbo.png    


bb=60,缩短渐开线  
InvLScuerve_S03s_bb=60.png    


bb=-50   延伸渐开线
InvLScuerve_S03s_bb=-50.png


只有您图中粉色阿基米德螺线,我跟您就对不上了。
因为63楼第二张图片的成型直线,都定义在基圆rbo的切平面上,所以无论bb角度如何变化、切平面如何摆转,形成的端面曲线都不可能进入到基圆rbo之内。


我的理解,当bb=0时,成型直线与Z轴平行,通式所表述加上螺旋因素,构成一片基圆rbo上的等距螺旋面,它的端面齿形就是一段圆弧:  
InvLScuerve_S03s_bb=0.png    


也可能是您的原理图内含更多,只是没表达出来,我没看见罢了。

您需要登录后才可以回帖 登录 | 注册

本版积分规则

QQ|小黑屋|手机版|Archiver|齿轮论坛 www.gearbbs.com

GMT+8, 2026-4-18 16:58 , Processed in 0.955038 second(s), 20 queries .

Powered by Discuz! X3.4 Licensed

© 2001-2023 Discuz! Team.

快速回复 返回顶部 返回列表