齿轮论坛 www.gearbbs.com

 找回密码
 注册
搜索
楼主: mrmrw
收起左侧

求助关于蜗杆斜齿轮副强度校核问题

[复制链接]
 楼主| 发表于 2025-6-27 12:06 | 显示全部楼层
搜了一下GB的起草,看到很多专家,发出来!

g01.png
g02.png
20_DI_2022004956_齿轮 蜗杆副承载能力计算.rar (1.25 MB, 下载次数: 5)
发表于 2025-6-27 13:27 | 显示全部楼层
mrmrw 发表于 2025-6-27 11:43
这个公式隐藏的很深! 在DIN 3996有公式; 在ISO 14521中有引用DIN 3996中的公式,但是就是没有写bH的计 ...

σH  Kisssoft的计算是根据皮特森原理计算:

下载.png

 楼主| 发表于 2025-6-28 07:56 | 显示全部楼层
正颈鹿 发表于 2025-6-27 13:27
σH  Kisssoft的计算是根据皮特森原理计算:

分享一下计算公式,谢谢!
发表于 2025-6-30 22:03 | 显示全部楼层
mrmrw 发表于 2025-6-28 07:56
分享一下计算公式,谢谢!

马总,出差了几天,上个回复貌似搞错了,那是齿轮刚度变形的公式。

讨论的公式在VDI2736中有说明,但无公式,另一篇文章中提到的详细公式:

s10010-023-00694-3.pdf (1.47 MB, 下载次数: 10)

下载 (1).png

下载 (2).png



 楼主| 发表于 2025-7-1 09:22 | 显示全部楼层
正颈鹿 发表于 2025-6-30 22:03
马总,出差了几天,上个回复貌似搞错了,那是齿轮刚度变形的公式。

讨论的公式在VDI2736中有说明,但 ...

资料浏览了一下,但是关于赫兹应力σH和两个齿轮的曲率半径的计算公式还是没有看到。
如果有详细的公式,烦请分享一下!谢谢


发表于 2025-7-1 11:21 | 显示全部楼层
附件第三页有说,但是在VDI2736中没有这个公式

1.jpg
 楼主| 发表于 2025-7-1 14:41 | 显示全部楼层
正颈鹿 发表于 2025-7-1 11:21
附件第三页有说,但是在VDI2736中没有这个公式

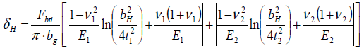
这个公式中涉及b 的计算,那就是死循环了!

这个公式在ISO中都有的,是平行轴齿轮副的接触应力计算公式,不是我想找的公式!

003.png
 楼主| 发表于 2025-7-1 16:29 | 显示全部楼层
正颈鹿 发表于 2025-6-25 16:59
了解了,具体的公式各个描述都不一致,蜗杆传动设计下的定义:

这个公式明显不对了!

跟我提出的KissSoft中的beff的计算肯定不一样了!
1986版的《蜗杆传动设计》下册中的计算公式,b是一个比齿宽B更多的数值。
04.png
发表于 2025-7-1 16:35 | 显示全部楼层
是的,赫兹接触应力公式里面就是有这个b宽度,有效宽度又和赫兹接触应力关联,我再看看
发表于 2025-7-2 11:16 | 显示全部楼层
ISO TS 14521 2020有bH的定义,bH公式和σH公式没有,看下来DIN3996的公式是有问题的, 叫GPT总结了下,
3.jpg
哈哈.png
ISO TS 14521 2020.pdf (7.85 MB, 下载次数: 8)
您需要登录后才可以回帖 登录 | 注册

本版积分规则

QQ|小黑屋|手机版|Archiver|齿轮论坛 www.gearbbs.com

GMT+8, 2026-4-18 16:28 , Processed in 0.364437 second(s), 21 queries .

Powered by Discuz! X3.4 Licensed

© 2001-2023 Discuz! Team.

快速回复 返回顶部 返回列表