齿轮论坛 www.gearbbs.com

 找回密码
 注册
搜索
查看: 146|回复: 2
收起左侧

直齿锥齿轮分度圆弦齿厚

[复制链接]
发表于 2026-2-6 21:30 | 显示全部楼层 |阅读模式

本帖子中包含更多资源。

您需要 登录 才可以下载或查看,没有账号?注册

x
最近遇到伞齿轮,汽车差速器里的,因为内花键变了,所以让供应商新发图纸,
发现对方发的图纸,一样的参数,以前的图纸和现在的分度圆弦齿厚不一样,


这个参数以前本论坛里的woody发过,这是论坛的
1.jpg
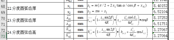
对方发的大齿轮图纸理论弦齿厚两个版本,6.518和6.511
虽然差的很少,但是总归有原因,我之前也下过一些编写的excel

发现两种版本都有,我常用的一个软件是6.511,
今天在论坛下的一个是6.518
QQ20260206-204111.png
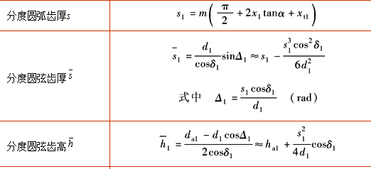
我在机械手机手册里看的是
QQ20260206-204937.png
一个等于和一个约等于的结果,刚好对应两种情况,
我不知道那个是对的,于是按25齿对25齿,全部0变位系数画了下,
应该是等于后面那个,约等于前面那个才对,
但是最近看到另外一个厂家的图纸,里面的参数又是前面的。
我才想起来我的三维是按背锥面画的,不是球面渐开线,
三维不精确,那么分度圆那里也可能不对。
就想问问到底是哪个?
发表于 2026-2-7 15:35 | 显示全部楼层
1014.png   

   
按照其最原始的定义来检测,分度圆弦齿厚=分度圆弧长对应的弦长。
计算很简单的。
资料计算公式带来的一些微量偏差,很可能是把锥齿轮变换成当量直齿轮来推算,所造成的。
 楼主| 发表于 2026-2-7 22:45 | 显示全部楼层
woodee 发表于 2026-2-7 15:35
按照其最原始的定义来检测,分度圆弦齿厚=分度圆弧长对应的弦长。
计算很简单的。
资料计算 ...

感谢大佬解答,第一个图就是你以前发的。
还有原来你的名字后面是ee,我还以为是y结尾。

您需要登录后才可以回帖 登录 | 注册

本版积分规则

QQ|小黑屋|手机版|Archiver|齿轮论坛 www.gearbbs.com

GMT+8, 2026-4-18 10:53 , Processed in 0.328650 second(s), 22 queries .

Powered by Discuz! X3.4 Licensed

© 2001-2023 Discuz! Team.

快速回复 返回顶部 返回列表